Log In
New Products
Specials
Featured Products
My Account
Log In
Email:
Password:
Forgotten Password
Create Account
or
Register
Advanced Search
Your cart is empty
Checkout
Chemicals
Inactive
Others
Your cart is empty.
View Cart
Checkout
Important Links
Order Info
Shipping Cost
Contact Us
Terms and Conditions
Privacy Notice
Special Request
Categories
Chemicals
Inactive
Others
Languages
Currencies
Please select ...
US Dollar
Home
>
Chemicals
>
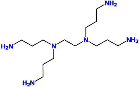
MC004975 Tetrakis(3-aminopropyl)ethylenediamine
> Ask a Question
3941 E Bayshore Road
Palo Alto, CA 94303
USA
Ask a Question About MC004975 Tetrakis(3-aminopropyl)ethylenediamine
Got a product question? We're happy to help!
What is Your Question?
* Required information
Full Name:
Email Address:
Telephone Number:
Message:
Back